Partially neutralized sodium salt of bis hexamethylene triamine penta (methylene phosphonic acid) BHMTPH·PN(Na2)
別名:二己烯三胺五亞甲基膦酸鈉 CAS No. 35657-77-3
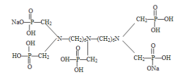
分子式 C17H42O15N3P5Na2 相對分子質量:約731 結構式:

性能與用途
BHMTPH·PN(Na2)是高效的螯合型阻垢劑,對碳酸鹽垢和硫酸鹽垢具有良好的阻垢效果。在較寬的pH范圍和120℃高溫下有極佳的水溶性和熱穩(wěn)定性,對鈣離子容忍度高。BHMTPH·PN(Na2)是油田水處理中的緩蝕阻垢劑,工業(yè)循環(huán)冷卻水和鍋爐水的阻垢緩蝕劑。
技術指標
項目 | 指標 |
外觀 | 深棕色液體 |
活性組分(以BHMTPMPA計) /% | 35.0~39.0 |
pH值(1%水溶液) | 2.5~4.5 |
密度(20℃)/g·cm-3 | 1.21~1.31 |
Fe含量(以Fe計) /mg·L-1 | ≤65.0 |
使用方法
單獨使用或與聚羧酸型阻垢分散劑配合使用。
包裝與貯存
BHMTPH·PN(Na2)用塑料桶包裝,每桶25Kg或根據用戶需要確定。貯于室內陰涼處,貯存期為十個月。
安全防護
BHMTPH·PN(Na2)為弱酸性,操作時注意勞動保護,應避免與皮膚、眼睛等接觸,接觸后用大量清水沖洗。